Упр.1.3 ГДЗ Мордкович Семенов 7 класс (Алгебра)
Решение #1

Рассмотрим вариант решения задания из учебника Мордкович, Семенов, Александрова 7 класс, Бином:
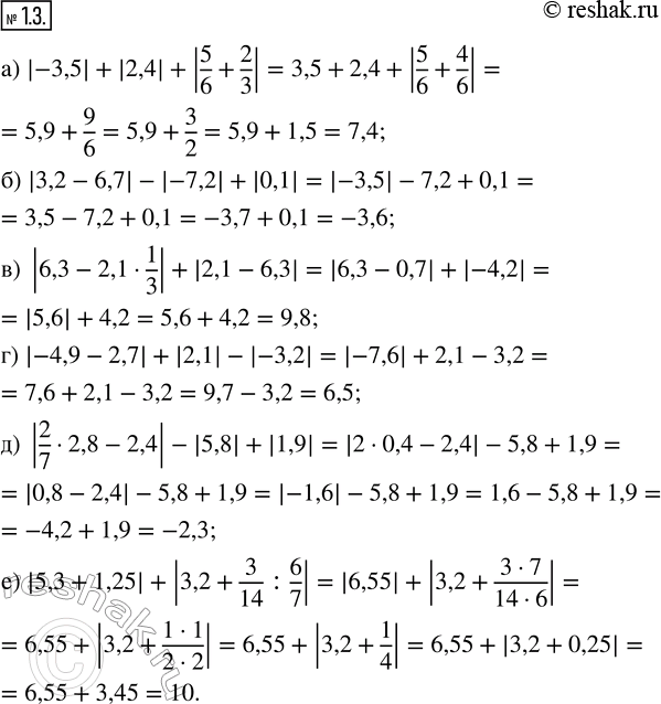
1.3. Найдите значение числового выражения.
а) |-3,5| + |2,4| + |5/6 + 2/3|;
б) |3,2 - 6,7| - |-7,2| + |0,1|;
в) |6,3 - 2,1 · 1/3| + |2,1 - 6,3|;
г) |-4,9 - 2,7| + |2,1| - |-3,2|;
д) |2/7 · 2,8 - 2,4| - |5,8| + |1,9|;
е) |5,3 + 1,25| + |3,2 + 3/14 : 6/7|.
*размещая тексты в комментариях ниже, вы автоматически соглашаетесь с пользовательским соглашением