Упр.11.13 ГДЗ Мордкович Семенов 8 класс (Алгебра)
Решение #1

Рассмотрим вариант решения задания из учебника Мордкович, Семенов, Александрова 8 класс, Бином:
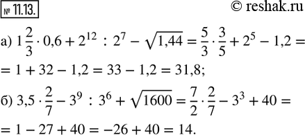
11.13. Найдите значение выражения:
а) 1 2/3 · 0,6 + 2^12 : 2^7 - v1,44;
б) 3,5 · 2/7 - 3^9 : 3^6 + v1600.
*размещая тексты в комментариях ниже, вы автоматически соглашаетесь с пользовательским соглашением