Упр.11.14 ГДЗ Мордкович Семенов 9 класс (Алгебра)
Решение #1

Рассмотрим вариант решения задания из учебника Мордкович, Семенов, Александрова 9 класс, Бином:
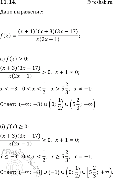
11.14. Дано выражение f(x)=(x+1)^2(x+3)(3x-17)/(x(2x-1)). При каких значениях переменной справедливо условие:
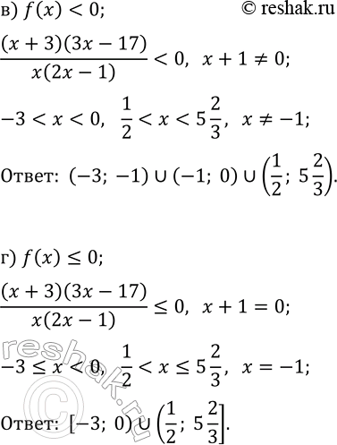
а) f(x)>0; в) f(x)<0;
б) f(x)?0; г) f(x)?0?
*размещая тексты в комментариях ниже, вы автоматически соглашаетесь с пользовательским соглашением