Упр.11.4 ГДЗ Мордкович Семенов 9 класс (Алгебра)
Решение #1

Рассмотрим вариант решения задания из учебника Мордкович, Семенов, Александрова 9 класс, Бином:
11.4. Решите неравенство:
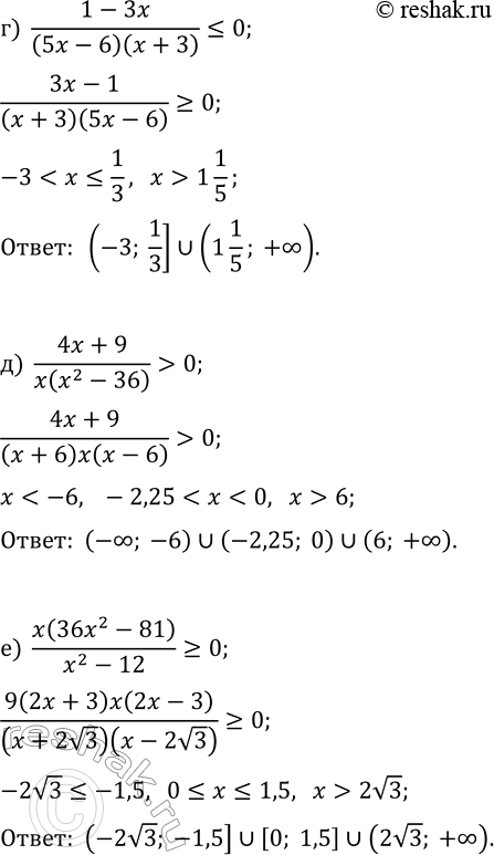
а) (1-x)(3x+2)/(2x+11)>0; г) (1-3x)/((5x-6)(x+3))?0;
б) x(x^2-16)/(x-3)?0; д) (4x+9)/(x(x^2-36))>0;
в) (x^2-8)/(x(25x^2-16))?0; е) x(36x^2-81)/(x^2-12)?0.
*размещая тексты в комментариях ниже, вы автоматически соглашаетесь с пользовательским соглашением