Упр.113 ГДЗ Колягин Ткачёва 11 класс (Алгебра)
Решение #1
Решение #2

Рассмотрим вариант решения задания из учебника Колягин, Ткачёва, Фёдорова 11 класс, Просвещение:
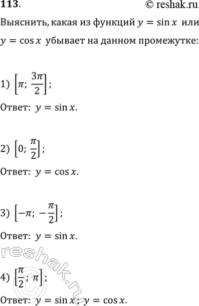
113. Выяснить, какая из функций у = sin х или у = cosx является убывающей на промежутке:
1) [пи; 3пи/2];
2) [0; пи/2];
3) [-пи; -пи/2];
4) [пи/2; пи].
*размещая тексты в комментариях ниже, вы автоматически соглашаетесь с пользовательским соглашением