Упр.114 ГДЗ Колягин Ткачёва 11 класс (Алгебра)
Решение #1
Решение #2

Рассмотрим вариант решения задания из учебника Колягин, Ткачёва, Фёдорова 11 класс, Просвещение:
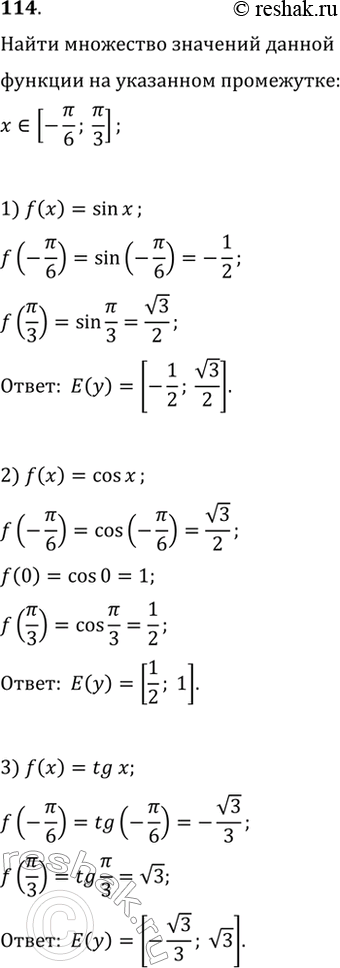
114. Найти множество значений функции y = f(x) на промежут-ке [-пи/6; пи/3], если:
1) f(x) = sinx;
2) f(x) = cosx;
3) f(x) = tgx.
*размещая тексты в комментариях ниже, вы автоматически соглашаетесь с пользовательским соглашением