Упр.12.20 ГДЗ Мордкович Семенов 7 класс (Алгебра)
Решение #1

Рассмотрим вариант решения задания из учебника Мордкович, Семенов, Александрова 7 класс, Бином:
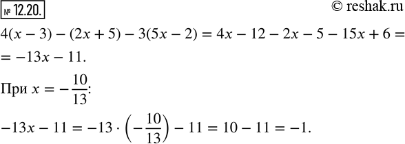
12.20. Упростите выражение 4(x — 3) — (2x + 5) — 3(5x — 2) и найдите его значение при x = - 10/13.
*размещая тексты в комментариях ниже, вы автоматически соглашаетесь с пользовательским соглашением