Упр.123 ГДЗ Колягин Ткачёва 11 класс (Алгебра)
Решение #1
Решение #2

Рассмотрим вариант решения задания из учебника Колягин, Ткачёва, Фёдорова 11 класс, Просвещение:
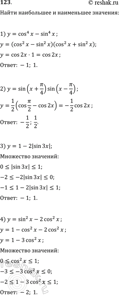
123. Найти наибольшее и наименьшее значения функции:
1) у = cos4x-sin4x;
2) y=sin(x + пи/4)sin(x-пи/4);
3) у = 1 - 2|sin3x|;
4) у = sin2x - 2cos2x.
*размещая тексты в комментариях ниже, вы автоматически соглашаетесь с пользовательским соглашением