Упр.13.9 ГДЗ Мордкович Семенов 9 класс (Алгебра)
Решение #1

Рассмотрим вариант решения задания из учебника Мордкович, Семенов, Александрова 9 класс, Бином:
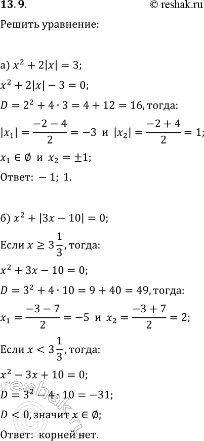
13.9. Решите уравнение:
а) x^2+2|x|=3; г) x^2=|x|+20;
б) x^2+|3x-10|=0; д) 2x^2=|5x-3|;
в) 2x^2+|x-4|=10; е) x^2+2=|3x+2|.
*размещая тексты в комментариях ниже, вы автоматически соглашаетесь с пользовательским соглашением