Упр.137 ГДЗ Колягин Ткачёва 8 класс (Алгебра)
Решение #1

Рассмотрим вариант решения задания из учебника Колягин, Ткачёва, Фёдорова 8 класс, Просвещение:
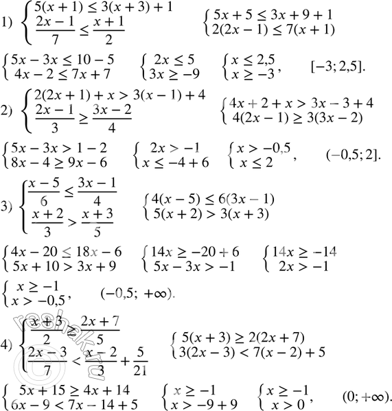
137. Решить систему неравенств:
1) {(5(x+1)?3(x+3)+1
(2x-1)/7?(x+1)/2)+
2) {(2(2x+1)+x>3(x-1)+4
(2x-1)/3?(3x-2)/4)+
3) {((x-5)/6?(3x-1)/4
(x+2)/3>(x+3)/5)+
4) {((x+3)/2?(2x+7)/5
(2x-3)/7<(x-2)/3+5/21)+
*размещая тексты в комментариях ниже, вы автоматически соглашаетесь с пользовательским соглашением