Упр.139 ГДЗ Колягин Ткачёва 8 класс (Алгебра)
Решение #1

Рассмотрим вариант решения задания из учебника Колягин, Ткачёва, Фёдорова 8 класс, Просвещение:
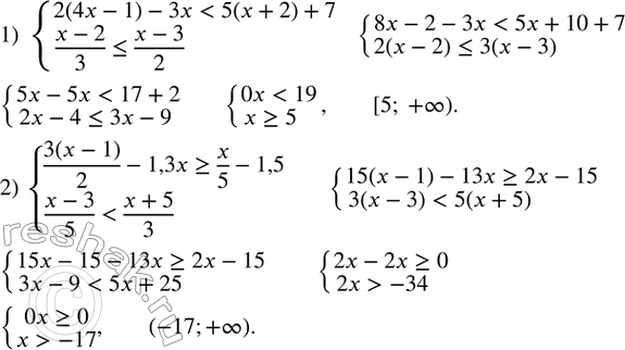
139. Решить систему неравенств:
1) {(2(4x-1)-3x<5(x+2)+7
(x-2)/3?(x-3)/2)+
2) {(3(x-1)/2-1,3x?x/5-1,5
(x-3)/5<(x+5)/3)+
*размещая тексты в комментариях ниже, вы автоматически соглашаетесь с пользовательским соглашением