Упр.14.5 ГДЗ Мордкович Семенов 9 класс (Алгебра)
Решение #1

Рассмотрим вариант решения задания из учебника Мордкович, Семенов, Александрова 9 класс, Бином:
14.5. Решите неравенство:
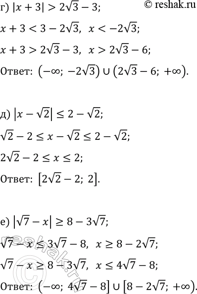
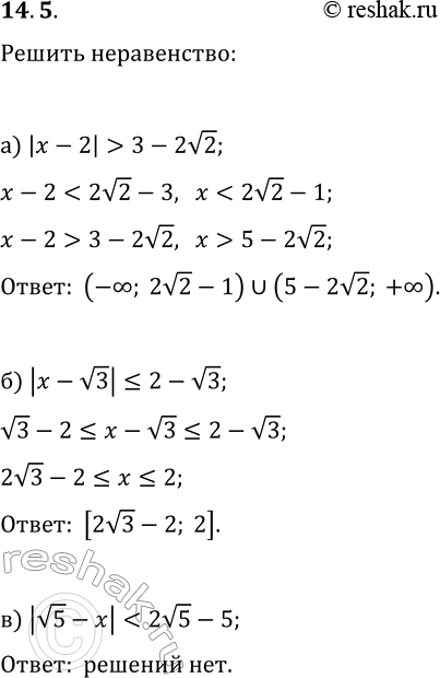
а) |x-2|>3-2v2; г) |x+3|>2v3-3;
б) |x-v3|?2-v3; д) |x-v2|?2-v2;
в) |v5-x|<2v5-5; е) |v7-x|?8-3v7.
*размещая тексты в комментариях ниже, вы автоматически соглашаетесь с пользовательским соглашением