Упр.14.7 ГДЗ Мордкович Семенов 8 класс (Алгебра)
Решение #1

Рассмотрим вариант решения задания из учебника Мордкович, Семенов, Александрова 8 класс, Бином:
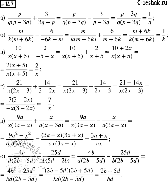
14.7. Упростите выражение:
а) p/(q(p - 3q)) + 3/(3q - p);
б) m/(k(m + 6k)) - 6/(-6k - m);
в) 10/(x(x + 5)) - 2/(-5 - x);
г) 21/(x(2x - 3)) + 14/(3 - 2x);
д) 9a/(x(3a - x)) + x/(a(x - 3a));
е) 4b/(d(2b - 5d)) + 25d/(b(5d - 2b)).
*размещая тексты в комментариях ниже, вы автоматически соглашаетесь с пользовательским соглашением