Упр.142 ГДЗ Колягин Ткачёва 11 класс (Алгебра)
Решение #1
Решение #2

Рассмотрим вариант решения задания из учебника Колягин, Ткачёва, Фёдорова 11 класс, Просвещение:
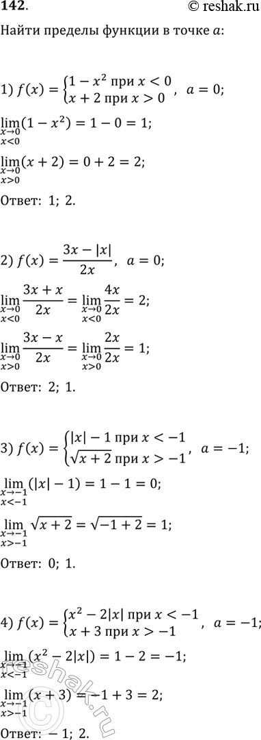
142. Найти пределы слева и справа функции f(x) в точке а, если:
1) f(x) = система
1-x2 при x<0,
x+2 при x>0,
a=0;
2) f(x) = 3x - |x|/2x, a=0;
3) f(x) = система
|x| -1 при x<-1,
корень x+2 при x>-1,
a=-1;
4) f(x) = система
x2 - 2|x| при x<-1,
x+3 при x>-1,
a=-1.
*размещая тексты в комментариях ниже, вы автоматически соглашаетесь с пользовательским соглашением