Упр.142 ГДЗ Никольский Потапов 8 класс (Алгебра)
Решение #1

Рассмотрим вариант решения задания из учебника Никольский, Потапов 8 класс, Просвещение:
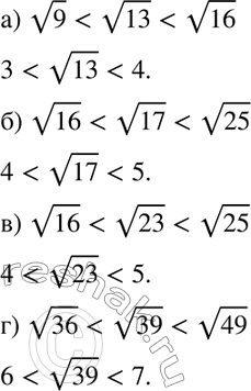
142. Найдите два последовательных натуральных числа, между которыми заключено число:
а) корень 13;
б) корень 17;
в) корень 23;
г) корень 39.
*размещая тексты в комментариях ниже, вы автоматически соглашаетесь с пользовательским соглашением