Упр.15.6 ГДЗ Мордкович Семенов 9 класс (Алгебра)
Решение #1

Рассмотрим вариант решения задания из учебника Мордкович, Семенов, Александрова 9 класс, Бином:
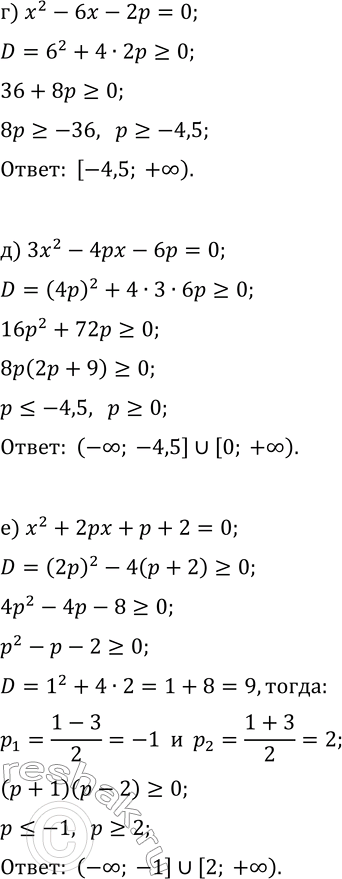
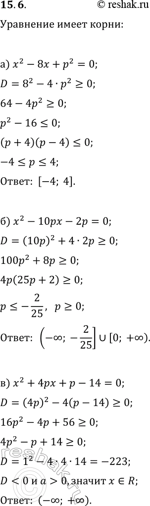
15.6. Найдите все значения параметра р, при которых уравнение имеет действительные корни:
а) x^2-8x+p^2=0; г) x^2-6x-2p=0;
б) x^2-10px-2p=0; д) 3x^2-4px-6p=0;
в) x^2+4px+p-14=0; е) x^2+2px+p+2=0.
*размещая тексты в комментариях ниже, вы автоматически соглашаетесь с пользовательским соглашением