Упр.159 ГДЗ Колягин Ткачёва 8 класс (Алгебра)
Решение #1

Рассмотрим вариант решения задания из учебника Колягин, Ткачёва, Фёдорова 8 класс, Просвещение:
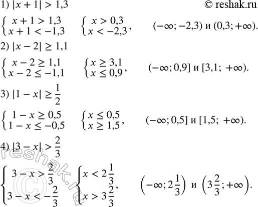
159. Решить неравенство:
1) |x+1|>1,3;
2) |x-2|?1,1;
3) |1-x|?1/2;
4) |3-x|>2/3.
*размещая тексты в комментариях ниже, вы автоматически соглашаетесь с пользовательским соглашением