Упр.16.11 ГДЗ Мордкович Семенов 7 класс (Алгебра)
Решение #1

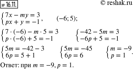
Рассмотрим вариант решения задания из учебника Мордкович, Семенов, Александрова 7 класс, Бином:
16.11. При каких значениях параметров m и р пара чисел (-6; 5) является решением системы уравнений {7x - my = 3; px + y = -1}?
*размещая тексты в комментариях ниже, вы автоматически соглашаетесь с пользовательским соглашением