Упр.16.3 ГДЗ Мордкович Семенов 8 класс (Алгебра)
Решение #1

Рассмотрим вариант решения задания из учебника Мордкович, Семенов, Александрова 8 класс, Бином:
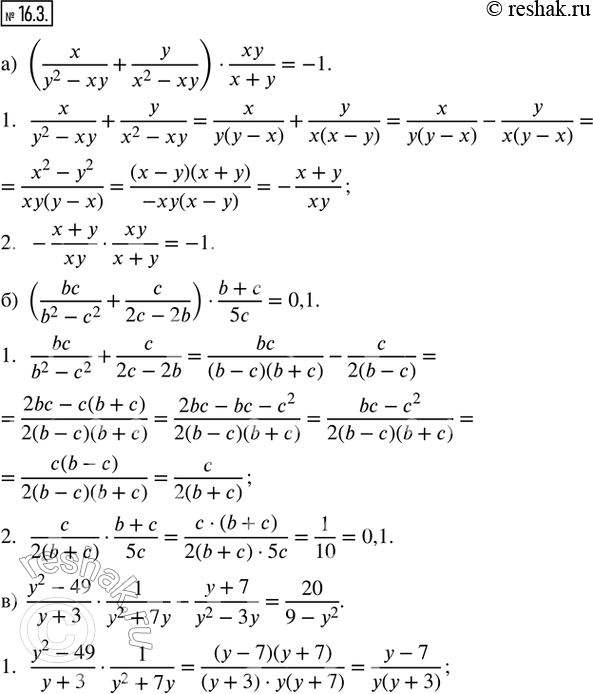
16.3. Упростите выражение:
а) (x/(y^2 - xy) + y/(x^2 - xy)) · xy/(x + y);
б) (bc/(b^2 - c^2) + c/(2c - 2b)) · (b + c)/5c;
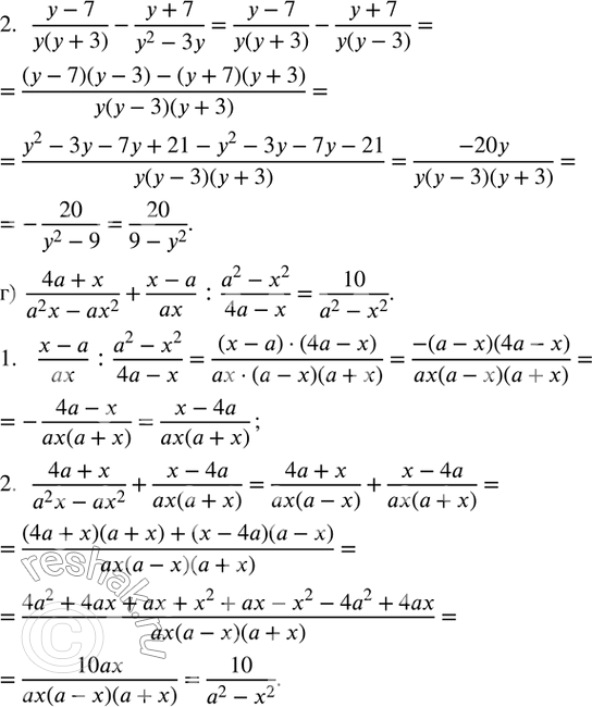
в) (y^2 - 49)/(y + 3) · 1/(y^2 + 7y) - (y + 7)/(y^2 - 3y);
г) (4a + x)/(a^2 x - ax^2) + (x - a)/ax : (a^2 - x^2)/(4a - x).
*размещая тексты в комментариях ниже, вы автоматически соглашаетесь с пользовательским соглашением