Упр.166 ГДЗ Колягин Ткачёва 11 класс (Алгебра)
Решение #1
Решение #2

Рассмотрим вариант решения задания из учебника Колягин, Ткачёва, Фёдорова 11 класс, Просвещение:
166. Найти значения х, при которых значение производной функции f(x) равно 0 (решить уравнение f(x) = 0), если:
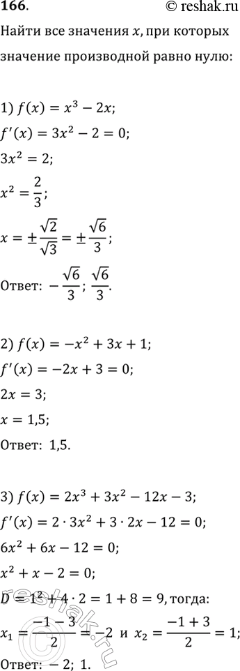
1) f(x) = х3 - 2х;
2) f(x) = -х2+ 3х + 1;
3) f(x) = 2х3 + 3х2 - 12x - 3;
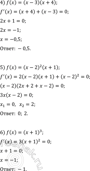
4) f(x) = (x - 3)(х + 4);
5) f(x) = (х - 2)2(х + 1);
6) f(x) = (x+ 1)3.
*размещая тексты в комментариях ниже, вы автоматически соглашаетесь с пользовательским соглашением