Упр.17.18 ГДЗ Мордкович Семенов 8 класс (Алгебра)
Решение #1

Рассмотрим вариант решения задания из учебника Мордкович, Семенов, Александрова 8 класс, Бином:
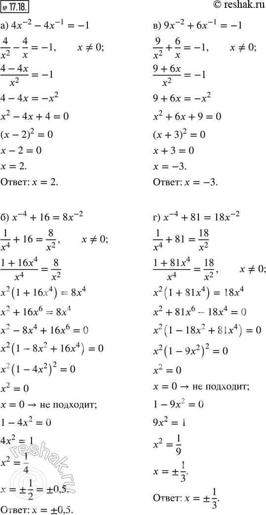
17.18. Решите уравнение:
а) 4x^(-2) - 4x^(-1) = -1;
б) x^(-4) + 16 = 8x^(-2);
в) 9x^(-2) + 6x^(-1) = -1;
г) x^(-4) + 81 = 18x^(-2).
*размещая тексты в комментариях ниже, вы автоматически соглашаетесь с пользовательским соглашением