Упр.175 ГДЗ Колягин Ткачёва 11 класс (Алгебра)
Решение #1
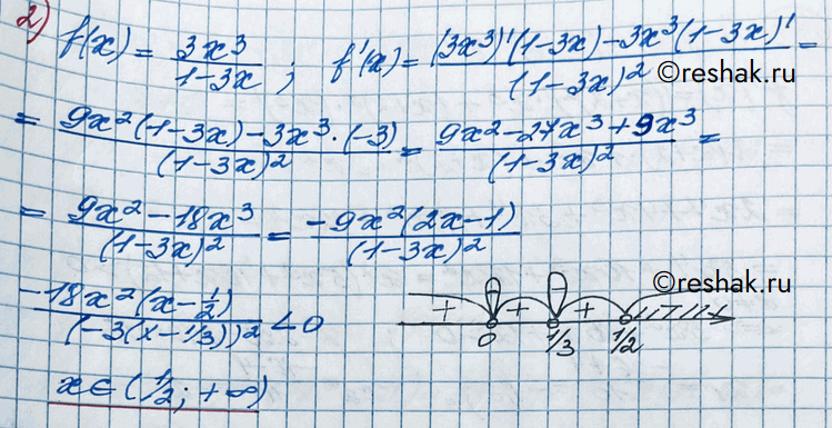
Решение #2

Рассмотрим вариант решения задания из учебника Колягин, Ткачёва, Фёдорова 11 класс, Просвещение:
175. Выяснить, при каких значениях х производная функции f(x) принимает отрицательные значения, если:
1) f(x) = 3x2-1/1-2x;
2) f(x) = 3x3/1-3x.
*размещая тексты в комментариях ниже, вы автоматически соглашаетесь с пользовательским соглашением