Упр.179 ГДЗ Колягин Ткачёва 11 класс (Алгебра)
Решение #1
Решение #2

Рассмотрим вариант решения задания из учебника Колягин, Ткачёва, Фёдорова 11 класс, Просвещение:
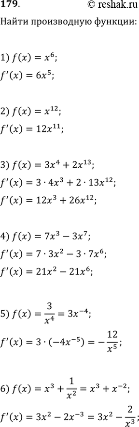
Найти производную функции (179—180).
179 1) x6;
2) x12;
3) 3x4+2x13;
4) 7x3 - 3x7;
5) 3/x4;
6) x3+1/x2.
*размещая тексты в комментариях ниже, вы автоматически соглашаетесь с пользовательским соглашением