Упр.18.14 ГДЗ Мордкович Семенов 7 класс (Алгебра)
Решение #1

Рассмотрим вариант решения задания из учебника Мордкович, Семенов, Александрова 7 класс, Бином:
18.14. При каких значениях параметров р и m данная система уравнений имеет бесконечное множество решений?
а) {(p - 10)x + y = 5m - 1; (m + 2)x - y = -2(p + 2)};
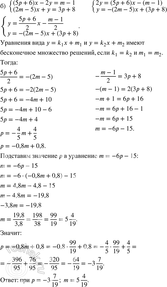
б) {(5p + 6)x - 2y = m - 1; (2m - 5)x + y = 3p + 8}.
*размещая тексты в комментариях ниже, вы автоматически соглашаетесь с пользовательским соглашением