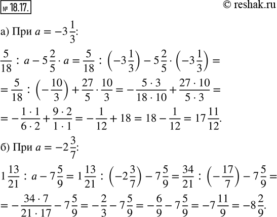
Упр.18.17 ГДЗ Мордкович Семенов 7 класс (Алгебра)
Решение #1

Рассмотрим вариант решения задания из учебника Мордкович, Семенов, Александрова 7 класс, Бином:
18.17. Найдите значение выражения:
а) 5/18 : a - 5 2/5 · a при a = -3 1/3;
б) 1 13/21 : a - 7 5/9 при a = -2 3/7.
*размещая тексты в комментариях ниже, вы автоматически соглашаетесь с пользовательским соглашением