Упр.18.9 ГДЗ Мордкович Семенов 8 класс (Алгебра)
Решение #1

Рассмотрим вариант решения задания из учебника Мордкович, Семенов, Александрова 8 класс, Бином:
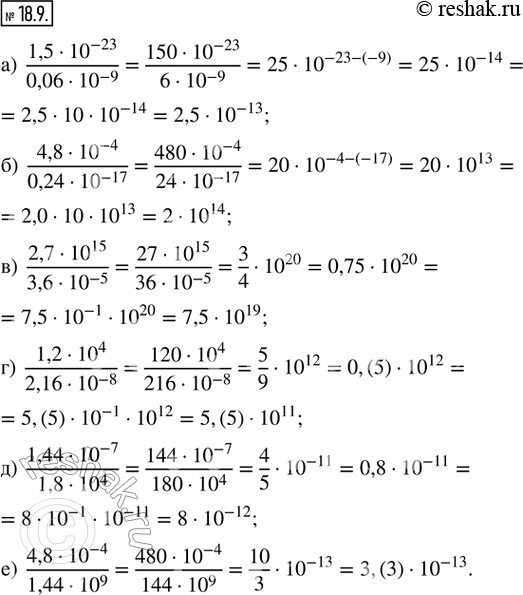
18.9. Вычислите и запишите результат в стандартном виде:
а) (1,5 · (10)^(-23))/(0,06 · (10)^(-9));
б) (4,8 · (10)^(-4))/(0,24 · (10)^(-17));
в) (2,7 · (10)^15)/(3,6 · (10)^(-5));
г) (1,2 · (10)^4)/(2,16 · (10)^(-8));
д) (1,44 · (10)^(-7))/(1,8 · (10)^4);
е) (4,8 · (10)^(-4))/(1,44 · (10)^9).
*размещая тексты в комментариях ниже, вы автоматически соглашаетесь с пользовательским соглашением