Упр.19.18 ГДЗ Мордкович Семенов 9 класс (Алгебра)
Решение #1

Рассмотрим вариант решения задания из учебника Мордкович, Семенов, Александрова 9 класс, Бином:
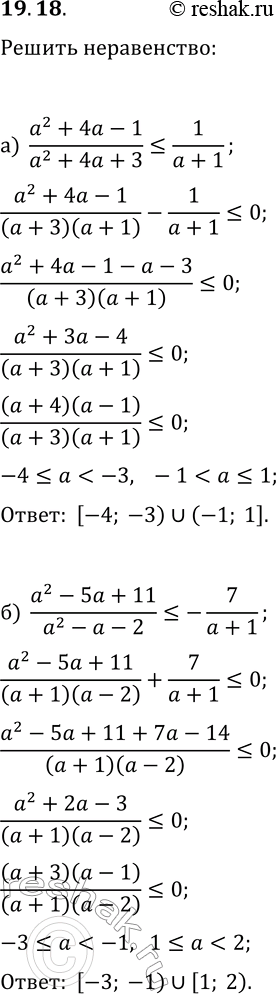
19.18. Решите неравенство:
а) (a^2+4a-1)/(a^2+4a+3)?1/(a+1);
б) (a^2-5a+11)/(a^2-a-2)?-7/(a+1).
*размещая тексты в комментариях ниже, вы автоматически соглашаетесь с пользовательским соглашением