Упр.19.19 ГДЗ Мордкович Семенов 9 класс (Алгебра)
Решение #1

Рассмотрим вариант решения задания из учебника Мордкович, Семенов, Александрова 9 класс, Бином:
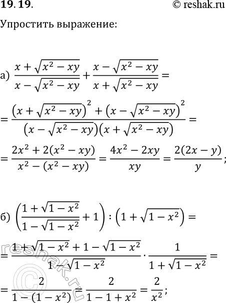
19.19. Упростите выражение:
а) (x+v(x^2-xy))/(x-v(x^2-xy))+(x-v(x^2-xy))/(x+v(x^2-xy));
б) ((1+v(1-x^2))/(1-v(1-x^2))+1):(1+v(1-x^2)).
*размещая тексты в комментариях ниже, вы автоматически соглашаетесь с пользовательским соглашением