Упр.19.20 ГДЗ Мордкович Семенов 7 класс (Алгебра)
Решение #1

Рассмотрим вариант решения задания из учебника Мордкович, Семенов, Александрова 7 класс, Бином:
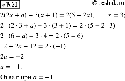
19.20. При каком значении параметра а уравнение 2(2х + а) - 3(х + 1) = 2(5 - 2х) имеет корень, равный 3?
*размещая тексты в комментариях ниже, вы автоматически соглашаетесь с пользовательским соглашением