Упр.190 ГДЗ Колягин Ткачёва 11 класс (Алгебра)
Решение #1
Решение #2

Рассмотрим вариант решения задания из учебника Колягин, Ткачёва, Фёдорова 11 класс, Просвещение:
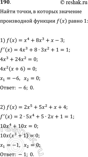
190. Найти точки, в которых значение производной функции f(x) равно 1:
1) f(x) = х4 + 8х3 + х- 3;
2) f(x) = 2х5 + 5х2 + х + 4;
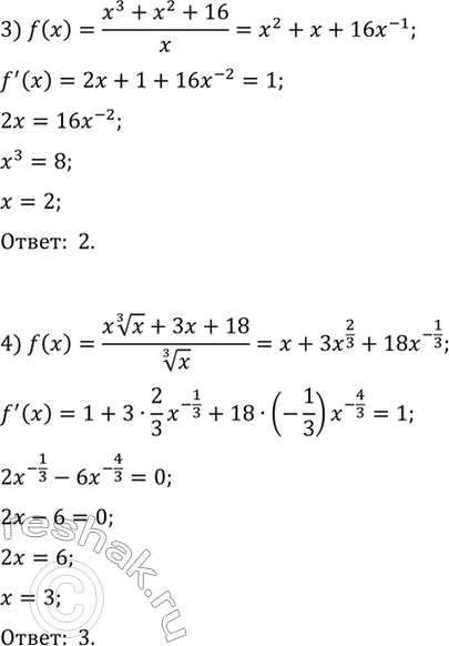
3) f(x) = x3+x2+16/x;
4) f(x)= x корень 3 степени + 3x + 18/ корень 3 степени x.
*размещая тексты в комментариях ниже, вы автоматически соглашаетесь с пользовательским соглашением