Упр.202 ГДЗ Колягин Ткачёва 11 класс (Алгебра)
Решение #1
Решение #2

Рассмотрим вариант решения задания из учебника Колягин, Ткачёва, Фёдорова 11 класс, Просвещение:
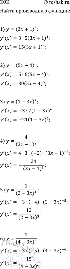
202. 1) (3x+1)5;
2) (5x-4)6;
3) (1-3x)7;
4) 4/(3x-1)2;
5) 1/(2-3x)4;
6) 1/(4-3x)5.
*размещая тексты в комментариях ниже, вы автоматически соглашаетесь с пользовательским соглашением