Упр.21.14 ГДЗ Мордкович Семенов 8 класс (Алгебра)
Решение #1

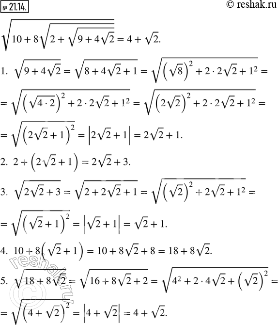
Рассмотрим вариант решения задания из учебника Мордкович, Семенов, Александрова 8 класс, Бином:
21.14. Упростите выражение v(10 + 8v(2 + v(9 + 4v2))).
*размещая тексты в комментариях ниже, вы автоматически соглашаетесь с пользовательским соглашением