Упр.212 ГДЗ Колягин Ткачёва 11 класс (Алгебра)
Решение #1
Решение #2

Рассмотрим вариант решения задания из учебника Колягин, Ткачёва, Фёдорова 11 класс, Просвещение:
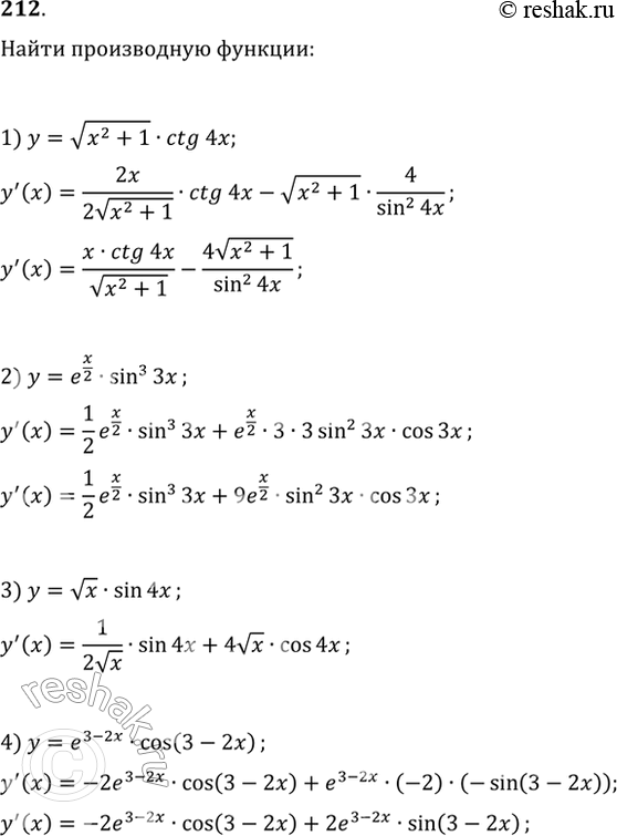
212. 1) корень x2+1 * ctg4x;
2) ex/2 sin3 3x;
3) корень x * sin4x;
4) e^3-2x * cos (3-2x).
*размещая тексты в комментариях ниже, вы автоматически соглашаетесь с пользовательским соглашением