Упр.215 ГДЗ Колягин Ткачёва 11 класс (Алгебра)
Решение #1
Решение #2

Рассмотрим вариант решения задания из учебника Колягин, Ткачёва, Фёдорова 11 класс, Просвещение:
215. Найти значения x, при которых значение производной функции f(x) равно 0, если:
1) f(x) = x2-6х-8lnх;
2) f(x)= 2 корень х -3ln(x + 2);
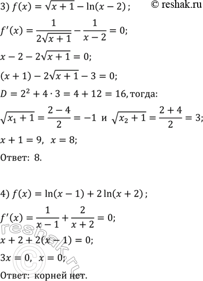
3) f(x) = корень x + 1 - ln(x - 2);
4) f(x) = ln(x - 1) + 2ln(x + 2).
*размещая тексты в комментариях ниже, вы автоматически соглашаетесь с пользовательским соглашением