Упр.216 ГДЗ Колягин Ткачёва 11 класс (Алгебра)
Решение #1
Решение #2

Рассмотрим вариант решения задания из учебника Колягин, Ткачёва, Фёдорова 11 класс, Просвещение:
216. Решить неравенство f'(x) > 0, если:
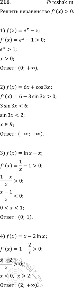
1) f(x) = ex - x;
2) f(x) = 6x + cos 3x;
3) f(x) = lnx - x;
4) f(x) = x-2lnx;
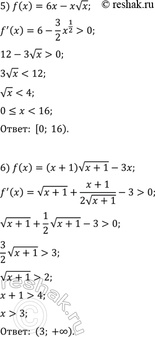
5) f(x) = 6x - x корень x;
6) f(x) = (x + 1) корень x +1 - 3x.
*размещая тексты в комментариях ниже, вы автоматически соглашаетесь с пользовательским соглашением