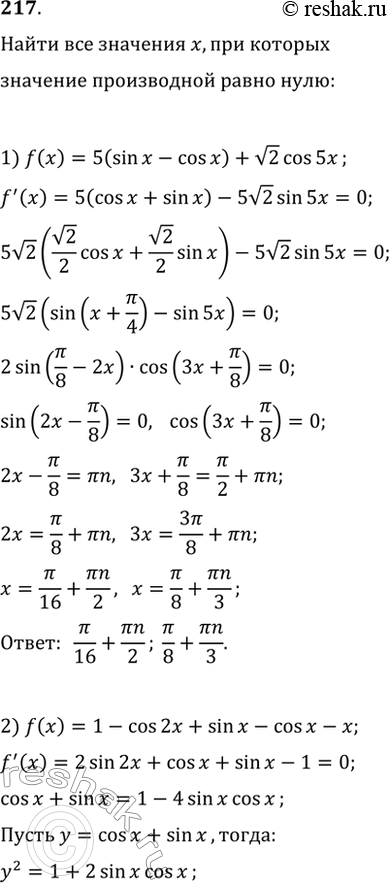
Упр.217 ГДЗ Колягин Ткачёва 11 класс (Алгебра)
Решение #1
Решение #2

Рассмотрим вариант решения задания из учебника Колягин, Ткачёва, Фёдорова 11 класс, Просвещение:
217. Выяснить, при каких значениях х значение производной функции f(x) равно 0, если:
1) f(x)= 5(sin x-cosx) + корень 2cos5x;
2) f(x) = 1 - cos2x + sinx - cosx - x.
*размещая тексты в комментариях ниже, вы автоматически соглашаетесь с пользовательским соглашением