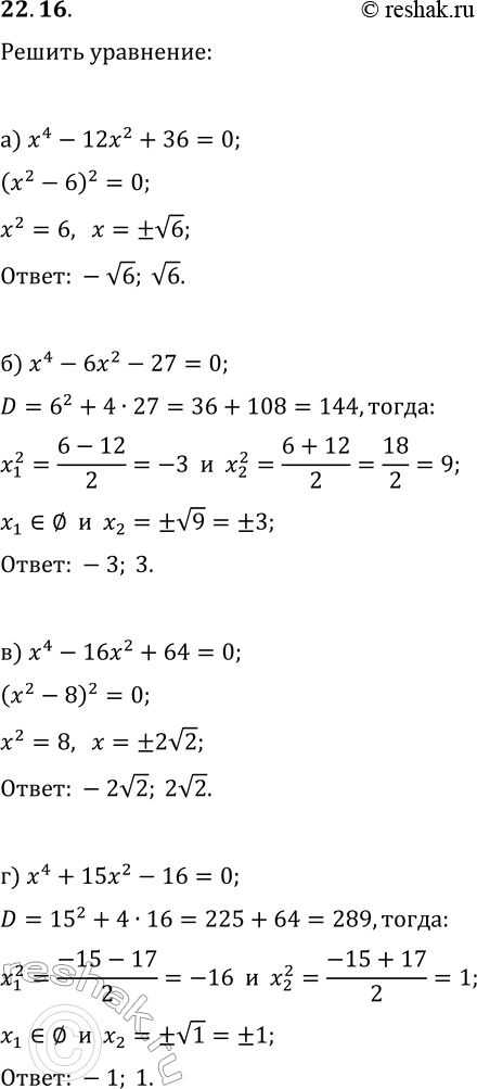
Упр.22.16 ГДЗ Мордкович Семенов 9 класс (Алгебра)
Решение #1

Рассмотрим вариант решения задания из учебника Мордкович, Семенов, Александрова 9 класс, Бином:
22.16. Решите биквадратное уравнение:
а) x^4-12x^2+36=0; в) x^4-16x^2+64=0;
в) x^4-6x^2-27=0; г) x^4+15x^2-16=0.
*размещая тексты в комментариях ниже, вы автоматически соглашаетесь с пользовательским соглашением