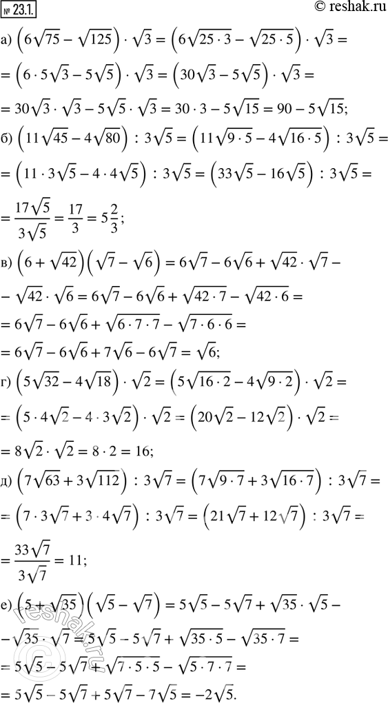
Упр.23.1 ГДЗ Мордкович Семенов 8 класс (Алгебра)
Решение #1

Рассмотрим вариант решения задания из учебника Мордкович, Семенов, Александрова 8 класс, Бином:
23.1. Найдите значение числового выражения:
а) (6v75 - v125) · v3;
б) (11v45 - 4v80) : 3v5;
в) (6 + v42)(v7 - v6);
г) (5v32 - 4v18) · v2;
д) (7v63 + 3v112) : 3v7;
е) (5 + v35)(v5 - v7).
*размещая тексты в комментариях ниже, вы автоматически соглашаетесь с пользовательским соглашением