Упр.23.4 ГДЗ Мордкович Семенов 7 класс (Алгебра)
Решение #1

Рассмотрим вариант решения задания из учебника Мордкович, Семенов, Александрова 7 класс, Бином:
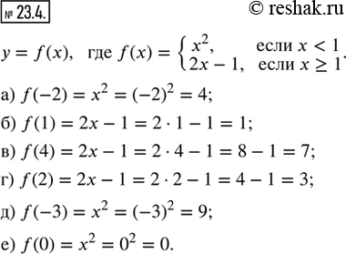
23.4. Дана функция у = f(x), где f(x) = {x^2, если x < 1; 2x - 1, если x ? 1}.
Вычислите:
а) f(-2); в) f(4); д) f(-3);
б) f(1); г) f(2); е) f(0).
*размещая тексты в комментариях ниже, вы автоматически соглашаетесь с пользовательским соглашением