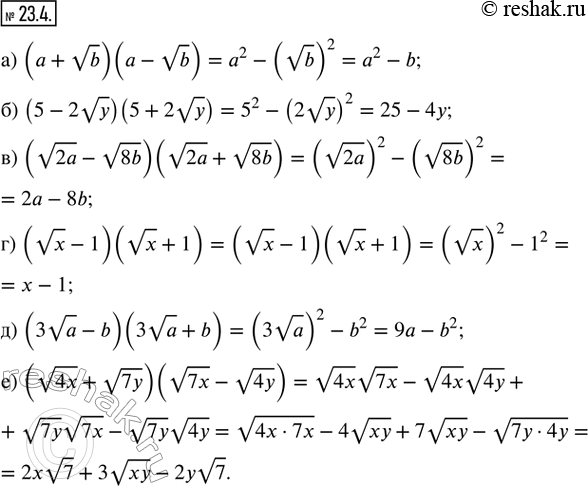
Упр.23.4 ГДЗ Мордкович Семенов 8 класс (Алгебра)
Решение #1

Рассмотрим вариант решения задания из учебника Мордкович, Семенов, Александрова 8 класс, Бином:
23.4. Упростите выражение:
а) (a + vb)(a - vb);
б) ((5 - 2vy)(5 + 2vy);
в) (v2a - v8b)(v2a + v8b);
г) (vx - 1)(vx + 1);
д) (3va - b)(3va + b);
е) (v4x + v7y)(v7x - v4y).
*размещая тексты в комментариях ниже, вы автоматически соглашаетесь с пользовательским соглашением