Упр.232 ГДЗ Колягин Ткачёва 11 класс (Алгебра)
Решение #1
Решение #2

Рассмотрим вариант решения задания из учебника Колягин, Ткачёва, Фёдорова 11 класс, Просвещение:
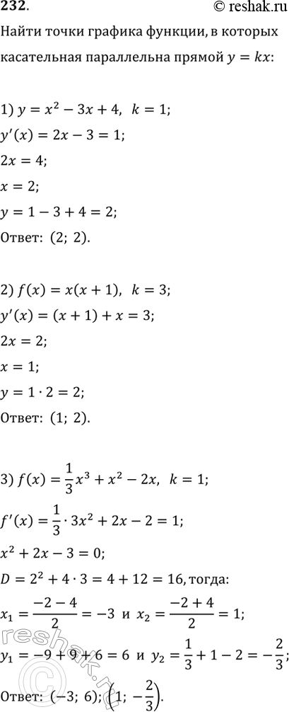
232. Найти точки графика функции у = f(х), в которых касательная к этому графику параллельна прямой у = kх, если:
1) f(х) = х2 - Зх + 4, k= 1;
2) f(х) = х(х + 1), k = 3;
3) f(х) = 1/3*х3 + х2 - 2х, k = 1;
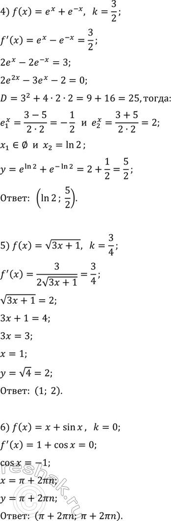
4) f(x) = ex + e^-x, k=3/2;
5) f(x) = корень 3x+1, k=3/4;
6) f(x) = x+sinx, k=0.
*размещая тексты в комментариях ниже, вы автоматически соглашаетесь с пользовательским соглашением