Упр.240 ГДЗ Колягин Ткачёва 11 класс (Алгебра)
Решение #1
Решение #2

Рассмотрим вариант решения задания из учебника Колягин, Ткачёва, Фёдорова 11 класс, Просвещение:
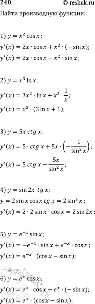
240. 1) x2cosx;
2) x3lnx;
3) 5xctgx;
4) sin2xtgx;
5) e-xsinx;
6) excosx.
*размещая тексты в комментариях ниже, вы автоматически соглашаетесь с пользовательским соглашением