Упр.241 ГДЗ Колягин Ткачёва 11 класс (Алгебра)
Решение #1
Решение #2

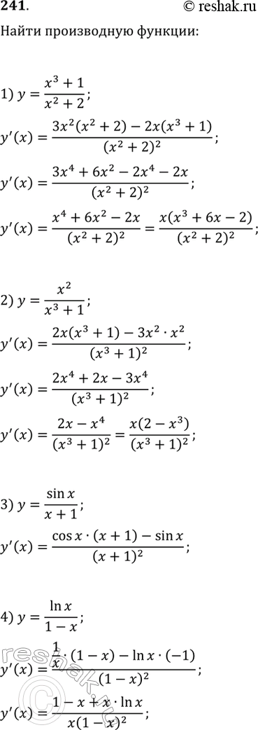
Рассмотрим вариант решения задания из учебника Колягин, Ткачёва, Фёдорова 11 класс, Просвещение:
241 1) x2+1/x2+2;
2) x2/x+1;
3) sinx/x+1;
4) lnx/1-x.
*размещая тексты в комментариях ниже, вы автоматически соглашаетесь с пользовательским соглашением