Упр.25.7 ГДЗ Мордкович Семенов 7 класс (Алгебра)
Решение #1

Рассмотрим вариант решения задания из учебника Мордкович, Семенов, Александрова 7 класс, Бином:
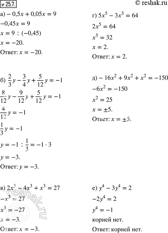
25.7. Решите уравнение:
а) -0,5x + 0,05x = 9;
б) 2/3 y - 3/4 y + 5/12 y = -1;
в) 2x^3 - 4x^3 + x^3 = 27;
г) 5x^5 - 3x^5 = 64;
д) -16x^2 + 9x^2 + x^2 = -150;
е) у^4 - 3у^4 = 2.
*размещая тексты в комментариях ниже, вы автоматически соглашаетесь с пользовательским соглашением