Упр.26.1 ГДЗ Мордкович Семенов 7 класс (Алгебра)
Решение #1

Рассмотрим вариант решения задания из учебника Мордкович, Семенов, Александрова 7 класс, Бином:
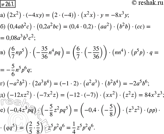
26.1. Выполните умножение одночлена на одночлен:
а) (2х^2) · (—4ху); г) (—а^2 b^2) · (2а^3 b^4);
б) (0,4аb^2 с) · (0,2а^2 bс); д) (—12хz^2) · (—7x^2 z);
в) (6/7 np^5) · (-35/36 n^4 pq); е) (-0,4z^3 pq) · (-5/8 z^2 pq^5).
*размещая тексты в комментариях ниже, вы автоматически соглашаетесь с пользовательским соглашением