Упр.26.5 ГДЗ Мордкович Семенов 7 класс (Алгебра)
Решение #1

Рассмотрим вариант решения задания из учебника Мордкович, Семенов, Александрова 7 класс, Бином:
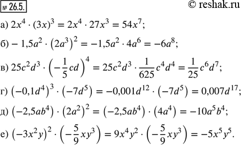
26.5. Упростите выражение:
а) 2x^4 · (3x)^3;
б) -1,5a^2 · (2a^3)^2;
в) 25c^2 d^3 · (-1/5 cd)^4;
г) (-0,1d^4)^3 · (-7d^5);
д) (-2,5ab^4) · (2a^2)^2;
е) (-3x^2 y)^2 · (-5/9 xy^3).
*размещая тексты в комментариях ниже, вы автоматически соглашаетесь с пользовательским соглашением