Упр.26.6 ГДЗ Мордкович Семенов 7 класс (Алгебра)
Решение #1

Рассмотрим вариант решения задания из учебника Мордкович, Семенов, Александрова 7 класс, Бином:
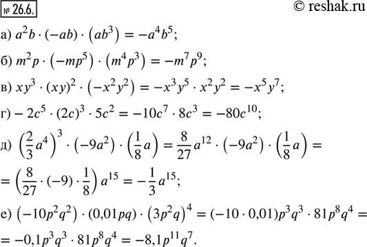
26.6. Упростите выражение:
а) a^2 b · (-ab) · (ab^3);
б) m^2 p · (-mp^5) · (m^4 p^3);
в) xy^3 · (xy)^2 · (-x^2 y^2);
г) -2c^5 · (2c)^3 · 5c^2;
д) (2/3 a^4)^3 · (-9a^2) · (1/8 a);
е) (-10p^2 q^2) · (0,01pq) · (3p^2 q)^4.
*размещая тексты в комментариях ниже, вы автоматически соглашаетесь с пользовательским соглашением