Упр.265 ГДЗ Никольский Потапов 9 класс (Алгебра)

Решение #1

Изображение 265.а) корень третьей степени из 8/27б) корень третьей степени из 125/216в) корень третьей степени из -3 3/8г) корень третьей степени из -5...

Решение #2

Изображение 265.а) корень третьей степени из 8/27б) корень третьей степени из 125/216в) корень третьей степени из -3 3/8г) корень третьей степени из -5...

Рассмотрим вариант решения задания из учебника Никольский, Потапов 9 класс, Просвещение:
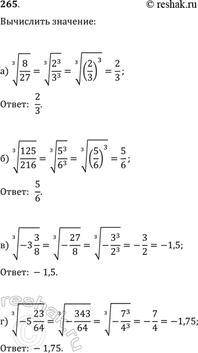
265.
а) корень третьей степени из 8/27
б) корень третьей степени из 125/216
в) корень третьей степени из -3 3/8
г) корень третьей степени из -5 23/64
*Цитирирование задания со ссылкой на учебник производится исключительно в учебных целях для лучшего понимания разбора решения задания.
*размещая тексты в комментариях ниже, вы автоматически соглашаетесь с пользовательским соглашением