Упр.28.12 ГДЗ Мордкович Семенов 9 класс (Алгебра)
Решение #1

Рассмотрим вариант решения задания из учебника Мордкович, Семенов, Александрова 9 класс, Бином:
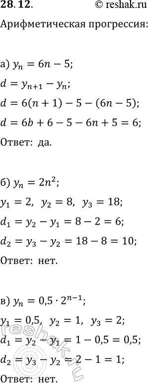
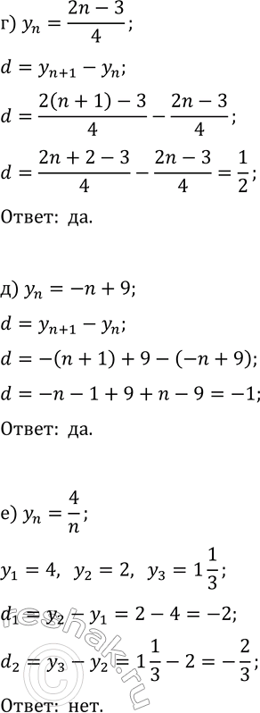
28.12. Установите, является ли арифметической прогрессией последовательность (y_n), заданная формулой n-го члена:
а) y_n=6n-5; в) y_n=0,5·2^(n-1); д) y_n=-n+9;
б) y_n=2n^2; г) y_n=(2n-3)/4; е) y_n=4/n.
*размещая тексты в комментариях ниже, вы автоматически соглашаетесь с пользовательским соглашением