Упр.28.26 ГДЗ Мордкович Семенов 9 класс (Алгебра)

Решение #1

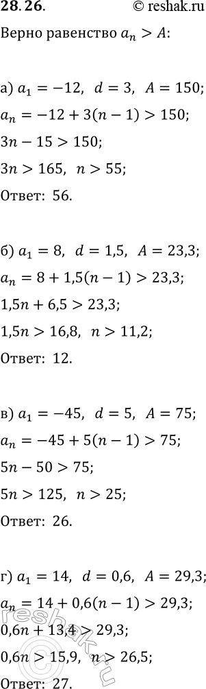
Изображение 28.26. Найдите номер члена арифметической прогрессии (a_n), начиная с которого выполняется неравенство a_n>A, если:а) a_1=-12, d=3, A=150;   в) a_1=-45, d=5, A=75;б)...
Загрузка...

Рассмотрим вариант решения задания из учебника Мордкович, Семенов, Александрова 9 класс, Бином:
28.26. Найдите номер члена арифметической прогрессии (a_n), начиная с которого выполняется неравенство a_n>A, если:
а) a_1=-12, d=3, A=150; в) a_1=-45, d=5, A=75;
б) a_1=8, d=1,5, A=23,3; г) a_1=14, d=0,6, A=29,3.
*Цитирирование задания со ссылкой на учебник производится исключительно в учебных целях для лучшего понимания разбора решения задания.
*размещая тексты в комментариях ниже, вы автоматически соглашаетесь с пользовательским соглашением

Похожие решебники